直接數位合成器 (DDS) 的基本知識以及挑選與使用方法
資料提供者:DigiKey 北美編輯群
2019-03-20
隨著無線裝置激增,設計人員日益使用複雜多變的波形,來滿足應用對數據傳輸率、干擾抑制、成本、覆蓋區以及低功耗等方面的需求。這些波形需要穩定的 RF 來源,且能根據需求進行調諧,更兼具相位和頻率靈活性。同時,這些 RF 來源還必須提供高純度的訊號。面對這麼多的需求,使用直接數位合成器 (DDS) 就能解決。
DDS 使用數位方法產生類比波形,因此具有很多優點,包括數位編程能力、更高的整合度,以及更低的成本。此外,DDS 幾乎能瞬間改變頻率或相位,所以也成為進階數位調變技術的主要來源,例如頻移鍵控 (FSK) 和展頻等,此外也使用跳頻等干擾抑制技術。因此,DDS IC 正快速取代或擴充傳統的鎖相迴路 (PLL) 及其他類比 RF 來源,同時仍可提供高穩定性與高訊號純度。
本文將說明 DDS 技術的基本知識,以及如何選定 DDS IC。接著將介紹一些合適的 DDS IC 解決方案,以及如何有效應用這些方案。
直接數位合成的原理
數位合成以相位累加器為基礎,相位累加器會產生一連串的數位狀態,這些狀態的值會線性增加,形成數字斜波。此訊號具有週期性,代表輸出波形的瞬時相位 (0 至 2p 弧度)。這是查找表的數位輸入,查找表會將數字斜波轉換成正弦波 (圖 1)。雖然最常見的 DDS 輸出波形是正弦波,但也能輕鬆產生斜波、三角波和方波。

圖 1:直接數位合成器以相位累加器為基礎,相位累加器會產生波形的瞬時相位。查找表可進行相位對振幅的轉換,再套用到數位類比轉換器上,經過濾波後產生出所需的類比輸出。(圖片來源:DigiKey)
相位對振幅查找表的輸出會傳送到數位類比轉換器 (DAC),然後轉換成類比波形,即最常見的正弦曲線波形。由於 DAC 的輸入是一連串取樣值,因此輸出具有量化步階。這些步階會以取樣率的倍數,在頻域中產生頻譜鏡像,但這並非樂見的結果。在 DAC 後方放置低通濾波器,便能抑制這些不樂見的頻譜響應。
相位累加器
相位累加器是 N 模數計數器,在每一次系統時脈輸入脈衝下,此計數器的 2N 數位狀態就會遞增。增量大小取決於應用至累加器加法器級的調諧字元值 (M)。此調諧字元會決定計數器增量的步階,而這會決定輸出波形的頻率。
相位累加器一般為 24 至 48 位元,在 24 位元下有 224 (即 16,777,216) 個狀態。此數字代表 0 至 2p 弧度之間的相位值數目,也就是可達成的相位增量。若是 24 位元相位累加器,相位解析度是 3.74 E-7 弧度。若使用更大的相位累加器,相位增量會更加精細。
如果想視覺化呈現相位累加器的運作情況,不妨以相位輪的方式來看 (圖 2)。

圖 2:16 態相位累加器運作的簡化視圖,以相位輪的方式視覺化呈現調諧字元如何影響 DDS 的輸出頻率。(圖片來源:DigiKey)
累加器狀態具有週期性,且呈現在圓圈上。圓圈上的點代表累加器所有的相位狀態。為了簡單起見,此例中累加器有 16 個狀態。如果調諧字元等於 1 (如上圖所示),則每個時脈的步階增量為 1,並會在整個週期內選取所有狀態。
相位輪右邊的投影圖形,是每個狀態的類比輸出。由於這是經過量化的元件,類比輸出會一直保持目前的狀態,直到時脈將相位輪推進到下個狀態。輸出波形由單一循環的量化正弦波組成,含有 16 個值。
在下方的圖中,調諧字元值設定為 2。在此設定下,會在相位輪上間隔地選取狀態。類比輸出現由兩個循環組成,每個循環有 8 個振幅,共計 16 個狀態。調諧字元設定為 2,因此輸出頻率是先前獲取值的兩倍。
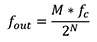
DDS 的輸出頻率由調諧字元值設定,按調諧字元的值等比例增加。取樣率在系統時脈速率下維持固定,輸出樣本之間的時間也是恆定的。輸出頻率取決於調諧字元的增量,因此隨著調諧字元的值增加,每個輸出循環中的步階就會變少,頻率也就隨之增加。調諧字元可增加到每個循環只有 2 個樣本為止,此時 DDS 輸出變為奈奎斯特頻率,也就是系統時脈速率的一半。通常會將 DDS 刻意地限制為輸出頻率總是小於奈奎斯特限值。
除了系統時脈頻率,DDS 的輸出頻率也取決於調諧字元值以及累加器的長度。此頻率可用方程式 1 表示:
方程式 1
說明:
fout 是 DDS 輸出頻率
M 是調諧字元值
fc 是系統時脈頻率
N 是相位累加器的長度
相位累加器的輸出即是輸出波形的瞬時相位,可用來驅動相位對振幅轉換器。相位對振幅轉換器會輸出數位字元,其值是輸入相位正弦波形的振幅。
請注意,用來驅動相位對振幅轉換器的位元數,小於相位累加器所用的位元數。這稱為相位截斷,用於減少相位累加器之後的數位級晶粒面積和功耗。雖然這確實會造成一些雜散的頻譜分量 (稱為截斷雜散),但只要設計縝密,便能降至最低。
使用輸出低通濾波器的原因
圖 2 顯示的波形具有階梯特性,因而含有大量諧波。因此,需要使用低通濾波器來除去這些頻譜諧波,以及 DDS 其他過程產生的其他雜散頻率響應。
例如,圖 3 針對時脈為 fc,輸出頻率小於 fc/2 的元件顯示其 DDS 輸出頻譜。該輸出頻譜可指出輸出譜線 fout,及其高於和低於時脈頻率的鏡像頻率,以及所有高達 (且超越) 第三個諧波的諧波。

圖 3:DDS 頻譜視圖 (系統時脈頻率為 fc,輸出頻率為 fout),指出最高至時脈第三個諧波的輸出頻率分量。(圖片來源:Analog Devices)
DDS 輸出頻率範圍為 0 Hz 至奈奎斯特限值 (即 fc/2)。如圖 2 所示,sin(x)/x 的成形是由時域中的量化訊號產生。sin(x)/x 函數的零點出現在時脈頻率及其所有諧波處。若想讓整個輸出範圍的振幅變得更扁平,可修正振幅來取消 sin(x)/x 成形。
要大幅減少超出奈奎斯特限值的頻譜分量振幅,就需要使用銳截止型 (超過 DDS 的頻率範圍) 低通濾波器。如果 DDS 頻率範圍擴大到奈奎斯特頻率,則濾波器需要無限陡峭截止斜度,才能排除大約在時脈頻率的較低鏡像頻率,否則會與奈奎斯特頻率重疊。這就是 DDS 頻率範圍很少擴大到奈奎斯特頻率的原因之一。
使用商業 DDS IC 進行設計
挑選和使用 DDS 時,需要考量許多因素。首先需考量應用必備的功能、所需的頻率範圍、振幅與偏移範圍、波形、解析度以及調變能力。訊號純度通常是選擇訊號來源時要考量的因素之一。除了功耗以外,無雜散動態範圍 (SFDR)、總諧波失真 (THD) 和相位雜訊也是重要的規格,對行動應用來說更是如此。
Analog Devices 的 AD9834BRUZ-REEL7 就是很好的低功率 DDS 範例 (圖 4)。此元件由三線序列介面控制,在 3 V 供電電壓下僅消耗 20 mW。此元件能輸出正弦、斜波與方波函數,而且最大時脈頻率為 50 MHz,即圖中的數位時脈輸入 MCLK。根據先前討論的奈奎斯特頻率,此時脈頻率代表波形的輸出頻率最高可達 25 MHz。

圖 4:Analog Devices 的 AD9834 低功率 DDS 內部功能圖。此元件在 3 V 供電電壓下僅消耗 20 mW,且能產生高達 25 MHz 的正弦、斜波和方波函數。(圖片來源:Analog Devices)
相位累加器的長度為 28 位元,可在 50 MHz 的時脈頻率下產生 0.186 Hz 的頻率解析度。此外,相位雜訊也取決於 MCLK 輸入的品質,而且與載波偏移存在函數關係 (圖 5)。對於 AD9834 而言,在 FOUT 為 2 MHz 且 MCLK 為 50 MHz 的條件下,載波偏移為 1 kHz 時的相位雜訊為 -120 dBc/Hz。

圖 5:相位雜訊取決於 MCLK 的品質;在 FOUT 為 2 MHz 且 MCLK 為 50 MHz 的條件下,載波偏移為 1 kHz 時的相位雜訊顯示為 -120 dBc/Hz。(圖片來源:Analog Devices)
內建 DAC 的解析度為 10 位元,而窄頻帶 SFDR 一般優於 -78 dB。
AD9834 具有雙頻與相位暫存器功能,可支援頻率與相位的調變。此外,還可繞過正弦唯讀記憶體 (ROM),以使用相位累加器輸出驅動 DAC,進而產生斜波函數。輸出引腳可提供符號位元,可提供方波以產生時脈。
為了協助進行設計流程,廠商通常會提供精選的工具來簡化工作。AD9834 DDS 由 Analog Devices 的 ADIsimDDS 線上互動式工具提供支援,能讓設計人員評估多種不同的配置,包括輸出頻率、調諧字元及參考時脈 (圖 6)。

圖 6:Analog Devices 的 ADIsimDDS 互動式設計工具,能讓設計人員實驗多種 DD 設定與濾波選項。(圖片來源:Analog Devices)
ADIsimDDS 程式一開始會先選擇特定的 DDS 產品,在此例中為 AD9834。當使用者輸入系統時脈頻率與所需的輸出頻率後,程式就會計算出相位累加器的調諧字元。頻域顯示器會顯示 DDS 輸出的頻譜,包含輸出訊號、諧波、DAC 鏡像、時脈諧波與時脈鏡像。若要了解各種濾波器對輸出頻譜的影響,可對 DDS 輸出應用濾波模擬器。
如果設計需要更高的效能與頻率,則可使用 Analog Devices 的AD9952YSVZ-REEL7,其時脈頻率最高為 400 MHz,能產生高達 200 MHz 的正弦曲線訊號,而且相位雜訊更低,SFDR 在 160 MHz (±100 kHz 偏移) AOUT 下大於 80 dB。如果直接與 AD9834 比較,其窄頻 SFDR 在 20 MHz 下一般為 -70 dB,當然,這需視頻率而定。
AD9952 未使用 MCLK 輸入,而是內建具有相關 PLL 乘法器的時脈振盪器,此乘法器可使用單一外部晶體,將時脈乘以 4 至 20 倍 (圖 7)。此 DDS 擁有自己的內部系統時脈 (高達 400 MSPS),因此可達到低相位雜訊,在 1 kHz 偏移下 ≤ -120 dBc/Hz。

圖 7:AD9952 利用外部晶體的輸入來產生自己的內部系統時脈,可改善條件控制能力達到更高效能,例如更低的相位雜訊。(圖片來源:Analog Devices)
此外,AD9952 還具有 32 位元相位累加器以及 14 位元 DAC。此 DDS 可透過序列介面進行控制。
如需更寬廣的頻率範圍,可選擇 Analog Devices 的 AD9957BSVZ-REEL,其支援高達 1 GHz 的時脈率,輸出頻率高達 400 MHz,可用於進階通訊應用。此元件採用 32 位元相位累加器和 14 位元高速 DAC,主要當作正交調變器,並能產生由 8 個相位/頻率暫存器控制的同相 (I) 分量與正交 (Q) 分量。輸出端會利用這些分量來產生正交調變數據流。另可選配反向 SINC (sin(x)/x) 濾波器,來補償先前討論的 sin(x)/x 成形。
以上舉出三個商用 DDS 積體電路的範例,這些電路能完成簡易到複雜的訊號產生任務。
結論
設計人員經常在改善無線系統的效能、尺寸、成本與功耗上遇到難題,DDS 已證明是個不錯的選擇。DDS 能以數位方式穩定、靈活且重複地產生訊號,可提供多種輸出波形和進階調變能力,包括頻率與相位跳動。隨著設計人員在工具套件中納入 DDS,廠商也利用進階工具來簡化挑選與整合作業,進而縮短設計流程。
聲明:各作者及/或論壇參與者於本網站所發表之意見、理念和觀點,概不反映 DigiKey 的意見、理念和觀點,亦非 DigiKey 的正式原則。

