電源開關的電阻電容 (RC) 緩衝器設計
資料提供者:DigiKey
2014-08-06
電源開關是每個電源轉換器的核心, 其運作狀況會直接決定產品的可靠度與效率。 為了增強電源轉換器切換電路的效能,電源開關上設有緩衝器,以抑制電壓尖波,並且降低開關開啟時電路電感所產生的振鈴。 正確設計緩衝器能提高可靠度、效率並且降低 EMI。 在眾多類型緩衝器中,電阻電容 (RC) 緩衝器是最常用的緩衝器電路。 本文說明電源開關為何需要緩衝器, 並且會提供如何達到最佳化緩衝器設計的實用訣竅。

電源轉換器、馬達驅動器和電燈安定器使用的拓撲有相當多種。 圖 1 指出四種基本的電源切換電路。 在這四種基本電路以及絕大多數的電源切換電路中,都有相同的開關、二極體、電感組成的網路,位於圖中藍色框線中。 此網路的特性在所有這些電路中都相同。 因此,即可使用如圖 2 所示的簡化電路,針對切換暫態期間的電源開關進行切換效能分析。 由於電感中的電流在切換暫態期間幾乎不會改變,因此採用電流源取代電感,如圖中所示。 此電路的理想電壓和電流切換波形如圖 2 所示。

MOSFET 開關關閉時,其電壓會上升。 但電流 IL 會繼續流通 MOSFET,直到電源電壓達到 Vol 為止。 二極體導通後,電流 IL 就會開始下降。 MOSFET 開關導通時,情況則會相反,如圖所示。 此類型切換稱為「硬切換」。 在切換暫態期間,必須同時支援最大電壓和最大電流。 因此在「硬切換」下,MOSFET 會暴露在高應力中。

在實際電路中,因為有寄生電感 (Lp) 和寄生電容 (Cp) 所以切換應力會更高,如圖 4 所示。 由於 PCB 佈局和安裝,Cp 包含開關的輸出電容和雜散電容。 Lp 含有 PCB 佈線的寄生電感和 MOSFET 引線電感。 來自電源元件的寄生電感和電容會形成濾波器,在發生關閉暫態後立即產生共振,因此會將過多電壓振鈴疊加到元件上,如圖 3 所示。 為了抑制峰值電壓,會在開關上採用典型 RC 緩衝器,如圖 4 所示。 電阻值必須接近需減幅的寄生共振阻抗值。 緩衝器電容必須大於共振電路的電容,但也必須低至能將電阻的功率耗散維持在最小的程度。

有一個快速的 RC 緩衝器設計方法,可用於較不注重功率耗散的應用。 憑過往經驗,選擇等於開關輸出電容加上預估安裝電容之總和兩倍的緩衝器電容 Csnub。 選擇緩衝器電阻 Rsnub,使得:


若此簡易且實際的設計不會明顯限制峰值電壓,即可套用最佳化程序。
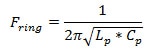
RC 緩衝器最佳化:在注重功率耗散的情況下,則需使用更顯著最佳化的設計方式。 首先需測量 MOSFET 開關節點 (SW) 在關閉時的振鈴頻率 (Fring)。 在 MOSFET 上焊接 100 pF 低 ESR 薄膜電容。 提高電容,直到振鈴頻率達到初始測量值的一半。 現在,由於振鈴頻率與電路的電感和電容乘積的平方根成反比,開關的輸出電容總值(增加的電容加上原本的寄生電容)增加四倍。 因此寄生電容 Cp 則為外部附加電容值的三分之一。 現在,即可使用下列方程式求得寄生電感 Lp:

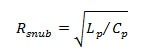
求得寄生電感 Lp 和寄生電容量 Cp 後,即可依據下列計算方式選擇緩衝器電阻 Rsnub 和電容 Csunb。


若有需要,可進一步微調緩衝器電阻以降低振鈴。
Rsunb 在指定切換頻率 (fs) 下的功率耗散為

透過這些計算值,即可完成電源供應器開關緩衝器的設計,並在應用中實施。

聲明:各作者及/或論壇參與者於本網站所發表之意見、理念和觀點,概不反映 DigiKey 的意見、理念和觀點,亦非 DigiKey 的正式原則。