How to Design Stable Transimpedance Amplifiers for Automotive and Medical Systems
Contributed By DigiKey's North American Editors
2017-06-28
Light for ranging and detection is being increasingly used in critical applications such as advanced driver assistance systems (ADAS), light detection and ranging (LiDAR) for future autonomous vehicles as they emerge, as well as mobile pulse oximeters. However, the reliability of the detected signal depends to a large degree upon the accuracy and stability of the detection circuitry.
A key element of that circuitry is the transimpedance amplifier (TIA), which changes a low-level photodiode current signal to a usable voltage output. Though TIAs are not new, designers struggle with stable implementations for many reasons, one of which are hidden parasitics.
This feature will describe the structure of TIAs and the effects of parasitics and other characteristics. It then derives simple equations to help design stable TIAs and introduces suitable amplifiers appropriate for a real-world implementation.
Transimpedance amplifier signal gain
The transimpedance amplifier circuit consists of a photodiode, an amplifier and feedback capacitor/resistor pair (Figure 1). This circuit looks simple enough, however the hidden parasitics can unknowingly cause unwanted circuit instability.

Figure 1: Zero reverse bias, transimpedance operational amplifier circuit. It looks simple, but parasitics can cause instability. (Image source: Digi-Key Electronics)
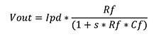
The light that hits the photodiode creates a current (Ipd) that flows from diode’s cathode to anode (Figure 1). This current also flows through the feedback resistor, Rf. The value of Ipd times Rf creates the output voltage at the op amp’s output, Vout. In this circuit, increasing light luminance causes the output voltage to become more positive.
The term “zero reverse bias” in Figure 1’s caption indicates that the voltage across the photodiode is 0 volts. If the reverse bias voltage across the photodiode is 0 volts, the leakage current or dark current is low, and the photodiode junction capacitance is high as compared to configurations where there are larger reverse bias voltages.
The ac signal gain of the TIA circuit is primarily dependent on the resistor and capacitor in the amplifier’s feedback loop. Equation 1 expresses the ideal AC and DC signal transfer function for Figure 1.

This equation suggests that the single-pole frequency response depends on the feedback elements in the circuit, however this does not explain why TIAs can sometimes be prone to oscillation.
Noise gain is a second gain equation in this system. As with every amplifier circuit, the Bode plot intersect of the amplifier open-loop gain with the noise gain defines the stability of the circuit. If this intersect occurs with a rate of closure of 20 dB/decade, the circuit phase margin is greater than or equal to 45 degrees. If the rate of closure of these two curves is greater than 20 dB/decade, the circuit phase margin is less than 45 degrees.
Although stability theory indicates that phase margins of 0 degrees will cause marginal stability, in practice the recommended system minimum is 45 degrees. A circuit with a 45 degree phase margin will produce a 23% overshoot step response behavior.
TIA noise gain response
To find the amplifier’s open-loop gain curve, refer to the device’s datasheet. To determine the noise gain of any amplifier circuit, find the circuit gain at the non-inverting input of the amplifier. For the purposes of this article, it is important to consider the impact of all capacitances and resistances in the circuit. Bearing this in mind, the full details about the circuit, including the photodiode junction characteristics and the amplifier parasitic input capacitances, are shown in Figure 2.

Figure 2: Zero reverse bias TIA circuit with a photodiode and amplifier viewed in simplified mode. This version accounts for the photodiode junction characteristics as well as amplifier parasitic input capacitances. (Image source: Digi-Key Electronics)
The photodiode model has DPD, Ipd, CPD and Rsh elements. DPD represents an ideal diode and IPD represents the light-generated current. The photodiode and application environment define IPD’s maximum value. The photodiode junction capacitance, CPD, is a consequence of the depletion region generated by the p and n material interface in the photodiode. The shunt resistance, Rsh, is equal to the effective resistance across the zero-biased photodiode. This parasitic resistance is a consequence of a p-n silicon junction, and is usually equal to several gigaohms at DC.
At the amplifier’s non-inverting and inverting inputs there are three parasitic capacitances. CCM is the non-inverting and inverting input parasitic capacitance to AC ground. For CMOS and FET devices, this is the gate and ESD cell to AC ground capacitance. CDIFF is the parasitic capacitance between the non-inverting and inverting input transistor’s gates.
For the following noise calculation, the capacitances at the input of the amplifier are in parallel with each other. The elements included in Cin are the junction capacitance of the photodiode, the op amp common-mode inverting input capacitance (CCM), and the op amp differential input capacitance (CDIFF). All of these capacitances appear in parallel, consequently adding together to define the Cin value. Cin represents this combination of capacitances at the input of the op amp as CPD + CDIFF + CCM. Please note that there is only one CCM term in the Cin calculation. This is because the nodes across the non-inverting input CCM are at an AC equivalent.
Equation 2 expresses the noise gain transfer function (calculated from the noninverting input of the op amp) of Figure 2.

From Equation 2, it is easy to identify the zero frequency (fz) and pole frequency (fp) in the noise gain transfer function with Equations 3 and 4:

![]()
Transimpedance amplifier stability
Equations 3 and 4 provide tools to plot the noise gain curve on a Bode plot. As an example, the Bode plot shows three example noise gain curves superimposed on the open-loop gain of an op amp (Figure 3).

Figure 3: Bode plot of three noise gain curves superimposed on an op amp open-loop gain curve. (Image source: Digi-Key Electronics)
The Bode plot helps to quickly determine the stability of the photodiode system at the point where the noise gain curve crosses the op amp’s open-loop gain curve. Estimate the rate of change for these two curves to roughly determine the stability.
Table 1 defines the condition of stability for the three noise gain curves. For noise gain curve No. 1, the curve intercepts the amplifier open loop (AOL) curve with a rate of change equaling 40 dB/decade. This intersect reflects a phase margin that is less than 45 degrees. A circuit with a phase margin less than 45 degrees is marginally stable, exhibiting a larger than 23% step response overshoot. Oscillations are probable as the fp1 frequency increases above the intercept frequency.
|
Table 1: Bode plot analysis for stability. (Image source: Digi-Key Electronics)
For noise gain curve No. 2, the curve intercepts the Aol curve well after the noise gain curve is flat. In this design, the rate of closure equals 20 dB/decade. However, the phase margin is greater than 45 degrees, creating a very stable circuit. The overshoot for this response is significantly less than 23%. The overshoot values decrease as the fp2 frequency decreases.
For noise gain curve No. 3, the curve intercepts the Aol curve exactly at the pole frequency, fp3. In this design, the rate of change equals 20 dB/decade. However, the phase margin is now equal to 45 degrees. This creates a stable circuit with 23% overshoot.
At this point in a design, it is possible to estimate the value of the feedback capacitor (Cf). For a unity-gain stable op amp, Equation 5 provides a useful Cf estimate, creating a 45 degree circuit phase margin.

ADAS and LiDAR amplifier solution
In ADAS and LiDAR applications, the sensors are performing position sensing activities, requiring them to be fast. Appropriate components for ADAS and LiDAR systems are the Vishay Semiconductor TEFD4300 silicon PIN photodiode, and the Analog Devices ADA4666-2 amplifier (Figure 4). The Vishay TEFD4300 silicon PIN photodiode senses visible and near infrared radiation. This high-speed photo detector is appropriate for position sensing, high-speed data transmission photo detecting, optical switches, and encoders. The TEFD4300 0 volt bias junction capacitance (CPD) is 3.3 pF with a shunt resistance (Rsh) of 67 GΩ. In this system, the maximum expected output current photodiode current is 10 µA (IpdMax).

Figure 4: ADAS and LiDAR TIA system using the Analog Devices ADA4666-2 amplifier and the Vishay Semiconductor TEFD4300 photodiode. (Image source: Digi-Key Electronics)
For the ADA4666-2, the input common-mode capacitance (CCM) equals 3 pF, and the input differential capacitance (CDIFF) equals 8.5 pF. The gain-bandwidth product (GBWP) equals 4 MHz. In this system, the power supply is 5 V with an output swing of the amplifier from 1 V to 4 V. To implement this output swing, VREF equals 1 V. To achieve a maximum output swing of 4 V, the feedback resistor (Rf) equals (VoutMax – VoutMin) / IpdMax = (4 V – 1 V)/10 µA = 300 k ohms.
From the values above, Cin = CCM + CDIFF + CPD = 14.8 pF. Applying Equation 5, Cf ~ 1.4 pF.
Pulse oximeter
Appropriate components for the pulse oximeter photo-sensing system are the Luna Optoelectronics PDB-C152SM blue enhanced silicon PIN photodiode and the Texas Instruments OPA363 amplifier (Figure 5). The Luna PDB-C152SM blue enhanced silicon PIN photodiode is a low cost, high-speed photo detector with a maximum spectral response of 950 nm. The PDB-C152SM 0 V bias junction capacitance (CPD) is 15 pF with a shunt resistance (Rsh) of 500 Mohm. In this system, the maximum expected output photodiode current is 10 µA (IpdMax).

Figure 5: Pulse oximeter TIA system using the Texas Instruments OPA363 amplifier and the Luna Optoelectronics PDB-C152SM photodiode. (Image source: Digi-Key Electronics)
For the OPA363, the input common-mode capacitance (CCM) equals 3 pF, and the input differential capacitance (CDIFF) equals 2 pF. The gain-bandwidth product (GBWP) equals 7 MHz. In this system, the power supply is 5 V with an output swing of the amplifier from 1 V to 4 V. To implement this output swing, VREF equals 1 volt. To achieve a maximum output swing of 4 volts, the feedback resistor (Rf) equals (VoutMax – VoutMin) / IpdMax = (4 V – 1 V)/10 µA = 300 k ohms.
From the values above Cin = CCM + CDIFF + CPD = 20 pF. Applying Equation 5, Cf ~ 1.23 pF.
Conclusion
This article briefly discusses the derivation of three simple formulas to help designers create a stable circuit for all transimpedance amplifiers. These formulas involve the derivation of the transimpedance amplifier’s signal and noise gain.
Appropriate amplifiers for a TIA have low input bias currents, low input offset voltages, and ample frequency bandwidth. This article describes the final designs of two TIAs using two suitable devices: the Analog Devices ADA4666 and the Texas Instruments OPA363 amplifiers.
Disclaimer: The opinions, beliefs, and viewpoints expressed by the various authors and/or forum participants on this website do not necessarily reflect the opinions, beliefs, and viewpoints of DigiKey or official policies of DigiKey.


