
WE-MAPI SMD Shielded Power Inductor
The Würth Elektronik' WE-MAPI is the world's smallest metal alloy power inductor. Its efficiency is unprecedented.
It’s efficiency is outstanding and now available in new sizes and extended temperature versions with AEC-Q200 Grade 0 qualification for -55° to +150 °C operation temperature in the 4020HT series.
The power inductor was developed for the latest and upcoming switching regulator generations. It impresses with its innovative metal-alloy core material. The frameless design with direct wire connection significantly increases the effective magnetic volume and thus also the power density.
Characteristics
- Magnetic iron alloy allows high rated currents up to 9.9 A
- Compact design
- Magnetically shielded
- High current capability and handles high transient current spikes
- Low acoustic noise and low leakage flux noise
- AEC-Q 200 qualified
- Operating temperature: –40 °C to 125 °C
- WE-MAPI 4020HT: High Temperature Series with operating temperature from -55 °C to +150 °C
Applications
- DC/DC-converter for high current power supplies
- DC/DC-converter for Field Programmable Gate Array (FPGA)
- POL-converters
- Portable power like PDA, digital camera
- Mainboards/graphic cards
- Battery powered devices
- Wireless communication devices
- Power supplies for smartphones, tablet PCs and other mobile devices
The innovative design in detail

Leadframe free design for best coplanarity

No solder or welding joints for highest reliability

Greatest core utilization for highest current handling

Reduced parasitic capacitances for lowest AC losses

Self-shielding construction for best EMI performance

Protective coating for perfect robustness
Advantages at a glance
Lowest AC & DC losses

Buck: 24 V to 12 V @ 2 A, 500 kHz, 2.2 µH
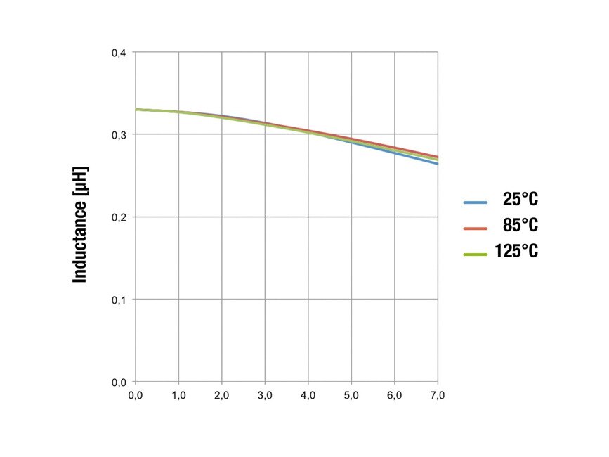
Excellent temperature stability

AC & DC Loss @ 500 kHz
Innovative Metal Alloy Core Material

Improved core utilization
Additional Resources
WE-MAPI
Image | Manufacturer Part Number | Description | Inductance | Tolerance | Available Quantity | Price | View Details | |
---|---|---|---|---|---|---|---|---|
![]() | ![]() | 74438323100 | FIXED IND 10UH 600MA 843MOHM SMD | 10 µH | ±20% | 8586 - Immediate | $9.85 | View Details |
![]() | ![]() | 74438335047 | FIXED IND 4.7UH 1.5A 162MOHM SMD | 4.7 µH | ±20% | 4781 - Immediate | $9.85 | View Details |
![]() | ![]() | 74438336100 | FIXED IND 10UH 1.2A 322 MOHM SMD | 10 µH | ±20% | 13351 - Immediate | $12.73 | View Details |
![]() | ![]() | 74438336068 | FIXED IND 6.8UH 1.6A 193MOHM SMD | 6.8 µH | ±20% | 8055 - Immediate | $12.73 | View Details |
![]() | ![]() | 74438336022 | FIXED IND 2.2UH 2.4A 80 MOHM SMD | 2.2 µH | ±20% | 5938 - Immediate | $12.73 | View Details |
![]() | ![]() | 74438336033 | FIXED IND 3.3UH 2.2A 114MOHM SMD | 3.3 µH | ±20% | 1425 - Immediate | $12.73 | View Details |
![]() | ![]() | 74438335330 | FIXED IND 33UH 500MA 1.33OHM SMD | 33 µH | ±20% | 4379 - Immediate | $13.71 | View Details |
![]() | ![]() | 74438357100 | FIXED IND 10UH 2.7A 110 MOHM SMD | 10 µH | ±20% | 40536 - Immediate | $13.88 | View Details |
![]() | ![]() | 74438357022 | FIXED IND 2.2UH 5.2A 26 MOHM SMD | 2.2 µH | ±20% | 17605 - Immediate | $13.88 | View Details |
![]() | ![]() | 74438357068 | FIXED IND 6.8UH 3A 74 MOHM SMD | 6.8 µH | ±20% | 6960 - Immediate | $13.88 | View Details |